There is a wide range of different enzyme catalyzed reactions that are catalyzed using FMN as a cofactor. A few of these are shown below.
1.) Trimethylamine Dehydrogenase

2.) NADPH-cytochrome P450 Reductase

3.) Glycolate Oxidase

4.) Dihydroorotate Dehydrogenase A

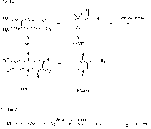
5.) NADPH-flavin Oxidoreductase